I’ve been reading through some old papers and stumbled across an exchange between journalist Walter Lippmann and Lewis Terman in 1922 (original). Unfortunately, I wasn’t fast enough to convert my tweet into a post, so Steve Sailer scooped me (and didn’t credit me for the find either but I will forgive him). I wanted to add another Terman gem from the same year to the public discourse and collective memory. When you read these old texts you get a very clear impression of the continuity in thought in this area, and how early most ideas were realized, even if the evidence was not the best at first.
- Terman, L. M. (1922). Were we born that way. World’s Work, 44(660), 81-82.
First, he discusses his impression of the public perception of the equality of man (quotes are OCR’d using Grok, so beware it may have hallucinated something, check the exact text to be sure):
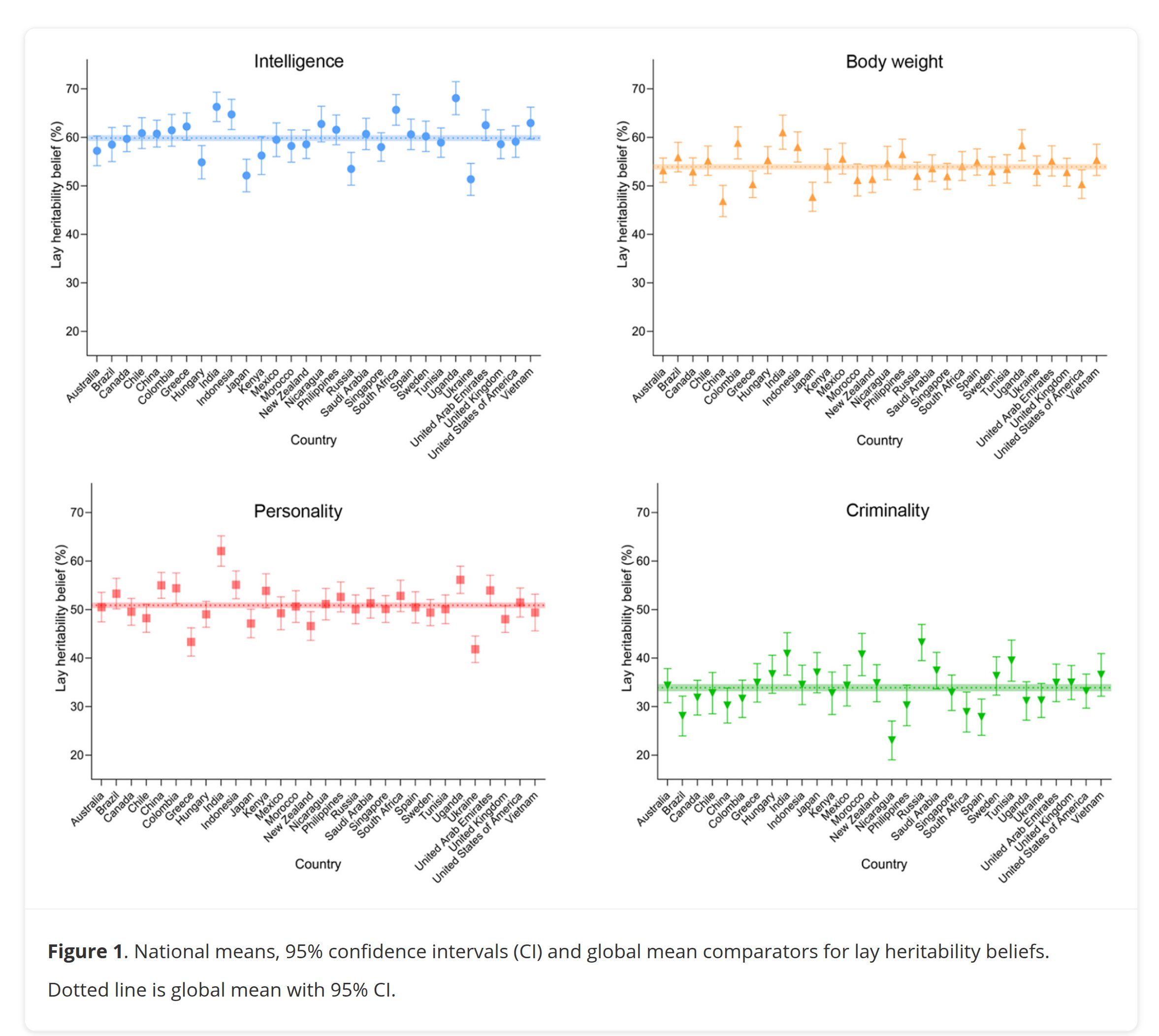
He cites no data to support this, and one can question it based on modern data. Take this 2024 survey of people across 30 countries concerning the heritability of various traits:

There’s not much difference between countries, not even the communist countries (China, Vietnam). So while we don’t have any surveys from 1920, his impression was probably false and based on unrepresentative opinions by ideologues perhaps combined with social desirability bias. It’s not nice to tell people that their place in life is roughly where their genetics has placed them in the initial lottery, but a cynic might suspect this conclusion from seeing enough failures.
Concerning the design of intelligence tests and the generality of intelligence (of g, we would now say):
Intelligence tests are based upon the principle of sampling. Just as the value of a mountain of ore can be appraised by assaying a few pocketfuls of material, so it is possible to appraise one’s intelligence by sinking shafts at a few critical points and analyzing the samples thus secured. The more varied the range of mental functions tested, the more valid the test. Standard intelligence scales include tests of memory, language comprehension, orientation in time and space, eye-hand coordinations, ability to find likenesses and differences between familiar objects, arithmetical reasoning, resourcefulness and ingenuity, speed, and richness of mental associations, the capacity to generalize from particulars, etc.
This is not so far off from Gottfredson’s definition (1994).
After explaining the calculation of IQs using the mental age method — (performance age / chronological age)*100 — he notes concerning stability:
The IQ is therefore a “brightness index,” and as such it is very serviceable even if far from accurate. Its significance lies in the fact that it has a marked tendency to remain constant, thus affording a rough basis for predicting a child’s later development. Children do not test at 50 today and 100 tomorrow. The average change is not much more than five points, even over a period of years. The six-year-old who tests at four, IQ 67, will probably at the age of twelve test not far from eight, or at the age of fifteen not far from ten. Moreover, since there is little mental growth after the age of fifteen, it can be predicted, within fairly well known limits of error, that this hypothetical subject will probably as an adult have a mental age not very far from ten years. In a certain proportion of cases the forecast is not borne out.
What about the impact of education on the scores?
The IQ is not chiefly a product of formal instruction. Schooling doubtless affects it to some extent; how much, psychologists are not agreed. The writer can find little evidence that ordinary inequalities of home environment and school training, such as inequalities, for example, as obtain in the average small city of California, invalidate the IQ very materially. Twice he has supervised experiments designed to ascertain how much a child’s IQ could be improved by intensive training. The results in both cases were almost entirely negative. The special classes for backward children in the public schools are such an experiment on an enormous scale. No other pupils in our public schools are taught in such small groups or by such able teachers. But rarely do the IQ’s of children given these special advantages show significant improvement. Generally speaking, once feeble-minded, always feeble-minded; once dull, always dull. The stories of dullards who become geniuses are not based on mental test evidence. When they are not merely old wives’ tales, they can readily be accounted for by the fact that the narrow curriculum of the old-time school often failed to interest the child of specialized ability or exceptional originality.
This negative conclusion was reached 64 years before Herman Spitz’ excellent 1986 book on the same topic (The raising of intelligence). Modern attempts to improve intelligence are equally fruitless, and neither are there useful transfers of learning between not closely related skills (say, from chess to anything useful). It’s not just AI that fail to generalize, it is also humans. Generalization is difficult!
Concerning the goals of the education system and the country itself:
As an exact unit of measure the IQ is anything but satisfactory. Compared to units of measure used by the physicist, for example, it is grossly inaccurate and clumsy. It does seem, however, to be founded on more than the accidental influence of environment and to reflect, in some degree, the quality of native endowment. When our intelligence scales have become more accurate and the laws governing IQ changes have been more definitely established it will then be possible to say that there is nothing about an individual as important as his IQ, except possibly his morals; that the greatest educational problem is to determine the kind of education best suited to each IQ level; that the first concern of a nation should be the average IQ of its citizens, and the eugenic and dysgenic influences which are capable of raising or lowering that level; that the great test problem of democracy is how to adjust itself to the large differences which can be demonstrated to exist among the members of any race or nationality group.
Written over 100 years ago, this sounds like something you would read on your average HBD blog. How little things change!
What about the evidence for heredity (heritability)?
INTELLIGENCE is chiefly a matter of native endowment. It depends upon physical and chemical properties of the cerebral cortex which, like other physical traits, are subject to the laws of heredity. In fact, the mathematical coefficient of family resemblance in mental traits, particularly intelligence, has been found to be almost exactly the same as for such physical traits as height, weight, cephalic index, etc. Measurement of twin pairs shows the excess of resemblance for such pairs, as compared with ordinary brother-brother or sister-sister pairs, to be as great for mental as for physical traits. The attempts to explain familiar resemblance on any other hypothesis than that of heredity have not been successful. All the available facts that science has to offer support the Galtonian theory that mental abilities are chiefly a matter of original endowment. Even the most extreme advocates of “free will” do not believe that the feeble-minded could successfully will to become intelligent, the tone-deaf to become musical, or the psychopathic to become stable. The researches of many men, from Galton to Davenport and Goddard, have proved that one family may be characterized by musical genius, another by mathematical genius, another by insanity, another by feeble-mindedness, and so on.
Argument by analogy. If everybody agrees physical metrics are heritable, and the mental ones show very similar family patterns, it would be a striking coincidence if the causality was very different. I also mentioned this analogy last time I covered Terman. It was unwise of him to lean on Goddard’s work (Kallikak family), even it was eventually proved to be sort of correct (most cases of very low intelligence are due not to Mendelian variation).
Concerning the relationship of scores to social status and the effects of learning:
[…] The intellectual spread of any social or occupational class is very wide and greatly overlaps the spread of any other class. The intellectual gap between the average lawyer or minister and the average unskilled laborer is nearly as great as that which separates the borderline defective from the strictly average person. These are differences which the highest arts of pedagogy are powerless to neutralize. One of the really significant discoveries of modern psychology is that when individuals of differing degrees of ability are subjected to the same training the original differences are more likely to be accentuated than to disappear. Equalization of educational opportunity does not equalize the educational product.
The latter is one of the first formulations of the Matthew effect in education, which was only coined in 1968.
Concerning the clustering of talent in families and the implications of this:
It is a matter of profound significance that nearly 50 per cent. of these gifted children [140+ IQ] belong to the professional classes. Half our genius comes from the top 4 or 5 per cent. of the population. The professional and semi-professional classes together furnish 85 per cent. of the highest 25 per cent. of our population, and more especially to the top 5 per cent., that we must look for the production of leaders who will advance science art, government, education, and social welfare generally. Obviously, therefore, our civilization of a thousand or ten thousand years hence will depend largely upon the genetic fertility of our low-grade and high-grade stocks.
One of the first writings (an earlier piece by Terman from 1916 said something similar) concerning the out-sized impact of the right tail, which we now somewhat incorrectly call the smart fraction theory.
What about the progress of meritocracy and clustering of ability?
Under the primitive economic conditions which prevailed in our relatively new and unformed civilization up to fifty or a hundred years ago, superior ability was more evenly distributed through the population than it is today. As the industrial and social situation becomes more complicated, there is a marked tendency, in any country which tries to give equal opportunity to all, for each individual to gravitate to the social or occupational level which corresponds to his native capacity. The more democratic the country, the more clearly this intellectual stratification tends to appear. In many parts of America it is well advanced. It is least noticeable among the newly arrived immigrants of an oppressed race. Freed from oppression these also rapidly form into a social hierarchy based largely upon native capacity, the intelligent, the average, and the incompetent finding their own levels.
This is essentially The Bell Curve (1994) thesis but 72 years earlier.
So if modifying education doesn’t work and anything else that has been tried, then we must look at the fertility rates:
UNTIL recently there had not been, at least for hundreds of years, any marked tendency in the civilized countries for one class to produce more children than another. For centuries the average mental endowment of the European and American peoples had held its own. But within the last fifty years a change of sinister portent has taken place. Intellectually superior families are no longer reproducing as rapidly as formerly. Their birth rate is already far below that of the socially incompetent. The average feeble-minded individual gives two or three times as many offspring as the average college graduate. This biological cataclysm, silent but none the less fateful, is rapidly spreading to all civilized countries. If the differential character of our birth rate continues, the day is not many centuries removed when the only surviving stock will be that descended from the least desirable of our present-day population. Granted that this stratum may have considerable potentialities which have not been developed, the prospect at best is not alluring. As a nation we are faced by no other issue of comparable importance. It is a question of national survival or national decay. Unconscious of the danger that impends we haggle over matters of governmental policy that are infinitesimal in comparison with the problem of mental fecundity. The situation will become fully grasped until we have come to think more in terms of individual differences and intelligence quotients.
He goes on to add that the usual legal methods of preventing the feeble-minded reproducing (sterilization laws) will not work because there are too few such people to much affect the overall pattern.
What about the reality of the intelligence differences and democracy with universal voting?
The least intelligent 15 or 20 per cent. of our population would probably be incapable of mastering, after any amount of instruction, the more difficult portions of the typical eighth grade text in arithmetic, of making any progress in algebra, of getting much sense out of a moderately difficult prose selection, or of understanding the underlying principles of tariff, taxation, bond transactions, or banking. On questions of larger social and national policy they vote blindly or as directed by political bosses. They are democracy’s ballast, not always useless but always a potential liability. How to make the most of their limited abilities, both for their own welfare and that of society; how to lead them without making them helpless victims of oppression; are perennial questions in any democracy.
Bleak! But not much different than the typical EHC stuff from Hanania and Karlin.
And from that, to a positive mission for the education system, namely, the identification and nurturing of talent:
BUT instead of worrying over-much about the number of dull people in the world it would be better to concern ourselves more about conserving and developing the vast amount of superior talent that is now wasted. Granted that only 50 or 60 per cent. of our children have ability to graduate from an average high school; this is still at least five times as many as actually do complete a high-school course. Probably five times as many have the ability to graduate from college as we are now graduating. Large numbers of highly gifted children are not recognized by their teachers as such. The brightest child in a certain school of five hundred pupils, as shown by mental test, was not named by his teacher as the “brightest,” “second brightest,” or “third brightest” in his classroom. The theory that “genius will out” is but a dangerous half truth. There is reason to believe that a good fraction of our intellectual talent is wasted. There are thousands of individuals whom a better education or a wiser guidance would have enabled to make a far bigger and better contribution to civilization than they are making. It has always been so. The biographies of eminent men and women record with disturbing frequency the accidental nature of the circumstances which have often given the genius his chance. But for the fact that Newton’s uncle, a graduate of Cambridge, one day found his youthful nephew lying under a hedge engaged in the solution of a difficult mathematical problem, it is doubtful whether this most gifted genius of English science would ever have had a university training. Without it even the giant intellect of Newton could not have formulated the law of gravitation, invented differential calculus, or demonstrated the refrangibility of light rays. One may be very sure that in case of many a gifted youth the “happy accident” fails to happen, and that “mute inglorious Miltons” are more than a poetic figure. The greatest problem of conservation relates not to forests or mines, but to the discovery, encouragement, and proper utilization of human talent. In this process discovery is the necessary first step, and this consideration alone would justify the expense and labor of giving every year an intelligence test to every one of our twenty million school children.
Unfortunately, in many countries, nothing good has happened here. We have instead dismantled or are in the progress of further dismantling gifted education and any talent programs. All of these programs identify the taboo social gaps. And speaking of that matter, Terman on race:
Do races differ in intelligence? A nation which draws its constituents from all corners of the earth and prides itself on being the melting pot of peoples can not safely ignore this question. It is axiomatic that what comes out of the melting pot depends on what goes into it. A decade ago the majority of anthropologists and psychologists flouted the idea that there are any considerable differences in the native mental capacities of races or nationality groups. Today we have overwhelming evidence that they were mistaken. Army mental tests have shown that not more than 15 per cent. of American negroes equal or exceed in intelligence the average of our white population, and that the intelligence of the average negro is vastly inferior to that of the average white man. The available data indicate that the average mulatto occupies about a mid-position between pure negro and pure white. The intelligence of the American Indian has also been over-rated, for mental tests indicate that it is not greatly superior to that of the average negro. Our Mexican population, which is largely of Indian extraction, makes little if any better showing. The immigrants who have recently come to us in such large numbers from Southern and Southeastern Europe are distinctly inferior mentally to the Nordic and Alpine strains we have received from Scandinavia, Germany, Great Britain, and France. The samplings we have received do not, of course, afford convincing proof that the Mediterranean race, as a race, is inferior. It is quite possible, for example, that our Nordic immigrants have been drawn chiefly from the middle and upper social classes, and our Mediterranean immigrants from the lower social strata. It is well recognized that immigration is often differential with respect to social and economic classes. However this may be, we owe it to the future of our civilization to set a minimum mental standard for our immigrants from every source. The literacy qualification is not without value, but it should be replaced by a more reliable measure of intellectual ability. No nation can afford to overlook the danger that the average quality of its germplasm may gradually deteriorate as a result of unrestricted immigration. In this connection it is interesting to note that intelligence tests of Chinese and Japanese in California indicate that these races are approximately the equals of Europeans in mental ability. Unselected Chinese children in San Francisco test almost as high as unselected white children and notoriously higher than the children of our Portuguese and South Italian immigrants. An extensive study of the mental traits of California Japanese children is now under way.
In fact, the 15% overlap corresponds to about 15 IQ, the same result as we have now. Nothing has changed except that the Northeast Asians are now considered to be a bit smarter and the south/east Europeans not so far below the north Europeans as sometimes asserted (looking at you, Eysenck!). Also, IQ nationalism before it was cool.
In his final section, he echoes the findings that men and women are the same average intelligence but differ in specific abilities (language, spatial). I think he was mistaken on this one, but it is probably because he was working with children, and the gap size increases with puberty. Women did not participate in the World War 1 army tests, and we also know that various people constructing mental tests tried to hide the male advantage in their test design.